

x - Mehmet Özdal
Türasaş Genel Müdürlüğü daha önce alacağını açıkladığı işçi kurası çekti.
Sivas'ta O Kurumda İşe Başlayacaklar Belli Oldu! İşte Liste...
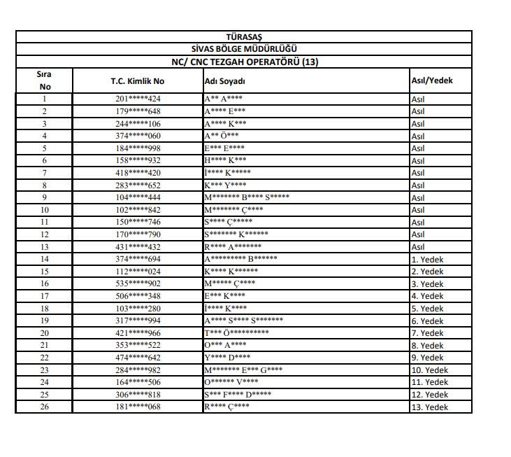
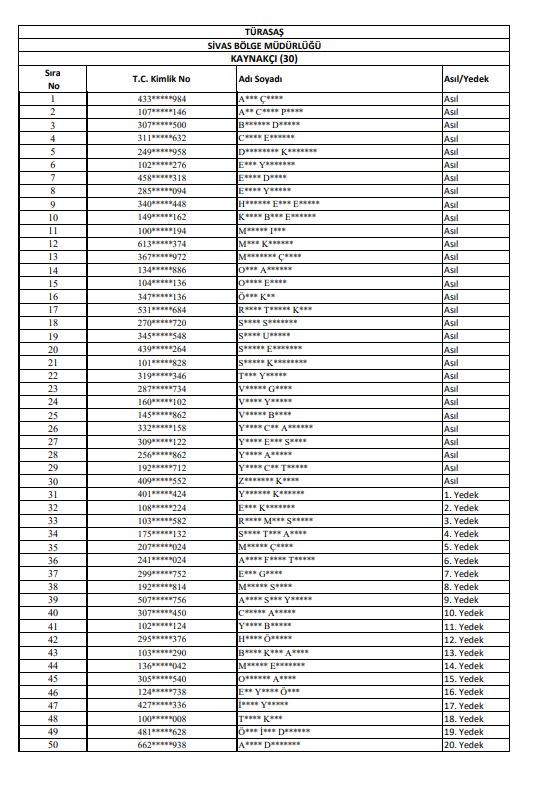
Daimi işçi alımı ilanı için, Ankara 43. Noter huzurunda çekilen kura sonuçlarında Sivas Bölge Müdürlüğü için ismi çıkan kişiler şöyle:



Büyük Sivas Haber – Sivas Haberler
Şenay Şimşek
Haber Editörü






bu fabrikanın çekilişlerine şaşırıyorum benım oglum 5 sefer kayıt yaptırdı beşindede çıkmadı böyle şansmı olur size soruyorum şahsen ben inanmıyorum bu kura sonuçlarına ankarada adamıolan lara çıkıyor herseferinde nasıloluyorsa tşklr